DIGITÁLIS SZÁMÍTÓGÉPEK
Programozott tananyag a számítástechnika tanításához és tanulásához.
Menü
Informatika
Webfejlesztés
Tehetséggondozás
Keresés
Informatika
Webfejlesztés
Tehetséggondozás
Hírek, információk
Szerkesztők
Programozott tananyag
Kódok, digitális jelátvitel
Logikai alapismeretek
A logikai algebra alapjai
A logikai függvények egyszerűsítése
Logikai áramkörök
Integrált áramköri kapuk
Bevezetés
Integrált áramköri kapuk csoportosítása
TTL rendszerű kapuk
Be-és kimeneti feszültségszintek
Be-és kimeneti feszültségszintek - F1
Be-és kimeneti feszültségszintek - F2
Be-és kimeneti feszültségszintek - F3
TTL NAND kapu felépítése
TTL NAND transzfer karakterisztika
TTL NAND kapu felépítése F1
TTL NAND transzfer karakterisztika F1
TTL NAND transzfer karakterisztika F2
TTL NAND kapuk jellemzői
TTL kapuk tápáram felvétele
TTL NAND kapuk jellemzői F1
TTL NAND kapuk jellemzői F2
TTL NAND kapuk jellemzői F3
Fel nem használt bemenetek
Fel nem használt bemenetek F1
Nagyobb bemenetszám megvalósítása
ÉS-VAGY típusú logikai hálózat
ÉS-VAGY típusú logikai hálózat 2
ÉS-VAGY típusú logikai hálózat példa
TTL NEM-VAGY (NOR) kapu
Több változós NEM-VAGY
Inverter áramkör
Fel nem használt bemenetek F2
Nyitott kollektoros (open-collector) változatok
Huzalozott ÉS kapcsolatot
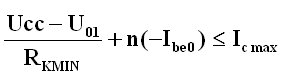
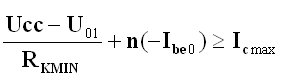
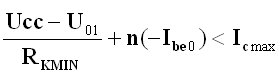
A munkaellenállás meghatározása
A munkaellenállás meghatározása F1
TTL kapuk - F1
TTL kapuk - F2
TTL kapuk - F3
CMOS rendszerű kapuk
Összetett kombinációs hálózatok
Tároló alapáramkörök
Sorrendi logikai hálózatok
Számláló áramkörök
Léptetőregiszterek
Információk
Archívum
Oldaltérkép
Bejelentkezés
FONTOS!
Digitális oktatás
1. osztályos onlie tananyag
Az oldalt készíti:
Gál Tamás
mérnök-tanár
gtportal.eu
Google +
Weboldal készítés árak
Webáruház bérlés 2000 Ft
Online pláza
Blogmotorunk:
W3Suli blogmotor
Felhasznált tananyag:
Webáruház készítés
Egyéb
Online látogatók:15
Eddigi látogatóink száma:1542454
FÍZETETT HÍRDETÉS
VISSZA
MENÜ
ISMÉT
TOVÁBB
A munkaellenállás meghatározása F1
Rákattintással jelölje a helyes összefüggéseket!
Ahogy a legtöbb honlap, ez a webhely is használ sütiket a weboldalain.
Elfogadom