DIGITÁLIS SZÁMÍTÓGÉPEK
Programozott tananyag a számítástechnika tanításához és tanulásához.
Menü
Informatika
Webfejlesztés
Tehetséggondozás
Keresés
Informatika
Webfejlesztés
Tehetséggondozás
Hírek, információk
Szerkesztők
Programozott tananyag
Kódok, digitális jelátvitel
Logikai alapismeretek
A logikai algebra alapjai
A logikai függvények egyszerűsítése
Logikai áramkörök
Integrált áramköri kapuk
Összetett kombinációs hálózatok
Bevezetés
Dekódoló áramkörök
Kódoló áramkörök
Kiválasztó áramkörök
Elosztó áramkörök
A demultiplexer
Kimeneti függvények
TTL demultiplexer
Demultiplexer F1
Demultiplexer F2
Nagyság-komparátorok
Tároló alapáramkörök
Sorrendi logikai hálózatok
Számláló áramkörök
Léptetőregiszterek
Információk
Archívum
Oldaltérkép
Bejelentkezés
FONTOS!
Digitális oktatás
1. osztályos onlie tananyag
Az oldalt készíti:
Gál Tamás
mérnök-tanár
gtportal.eu
Google +
Weboldal készítés árak
Webáruház bérlés 2000 Ft
Online pláza
Blogmotorunk:
W3Suli blogmotor
Felhasznált tananyag:
Webáruház készítés
Egyéb
Online látogatók:11
Eddigi látogatóink száma:1564862
FÍZETETT HÍRDETÉS
VISSZA
MENÜ
ISMÉT
TOVÁBB
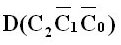
Demultiplexer F1
Mozgatással egészítse ki a n=3 címző bemenetű demultiplexer logikai függvényét!
K
0
=
1
K
1
=
1
K
2
=
1
K
3
=
1
K
4
=
1
K
5
=
1
K
6
=
1
K
7
=
1
Ahogy a legtöbb honlap, ez a webhely is használ sütiket a weboldalain.
Elfogadom